微信掃碼關注
微信掃一掃
二維碼已過期請點此重新獲取
點擊刷新
請使用手機微信掃碼完成登錄
滕州卷煙廠易地技術改造項目地質勘察(初勘)招標公告1.招標條件山東中煙工業有限責任公司滕州卷煙廠易地技術改造項目已由國家煙草專賣局以國煙計[2010]416號文批準建設,項目業主為山東中煙工業有限責任公司,建設資金已自籌到位,招標人為山東中...
關于2011年房地產開發項目已辦理商品房預售許可證情況的公告2011年全市房地產開發在建項目,包括年度接轉和已竣工項目,共計48個,截止2011年12月31日,已辦理商品房預售許可手續的30個,按照《山東省商品房銷售條例》管理規定,予以公告...
關于2011年房地產開發項目已辦理開發經營許可證情況的公告2011年全市房地產開發在建項目,包括年度接轉和已竣工項目,共計48個,截止2011年12月31日,已辦理開發經營許可手續的20個,按照《山東省城市房地產開發經營管理條例》管理規定,...
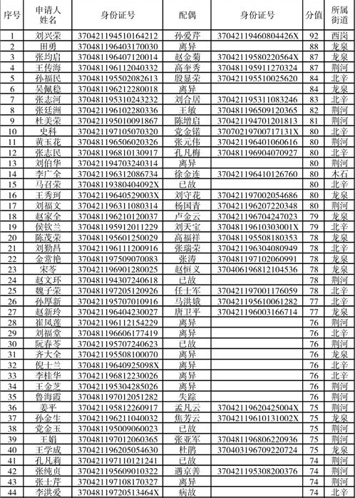
滕州市住房委員會辦公室關于滕州市2011年度經濟適用住房申購人資格審核情況的公示經過審核,2011年度共有3129戶家庭申請購買經濟用住房,其中,2919戶家庭(重點優撫家庭39戶,普通申購家庭2880戶)符合申購條件,181戶家庭不符合申...
根據工程進展需要,城建集團海上明月項目安裝工程部分設備和材料面向社會公開招標。項目名稱:城建·海上明月。招標內容:1、配電箱、柜;2、銅芯線、電纜;3、開關、插座、燈具;4、消防器材和報警設備;5、通風設備;6、熱計量表等。投標人資格要求:...
2012年全市15個老舊住宅小區改造工程招標公告滕州市2012年全市15個老舊住宅小區改造工程已批準建設,現決定對該工程項目進行公開招標,選定承包人。一、招標單位:滕州市物業管理辦公室二、工程名稱:2012年全市15個老舊住宅小區改造工程三...
2月17日,對于162戶廉租住戶來說,是個終生難忘的日子。就在這一天,他們終于領到了新房鑰匙,搬進了向往已久的新房。正在搬家的廉租住戶時國慶高興地說:“能住上新房子,是我們全家人的夢想,現在這個夢想終于變為了現實?!蹦壳?,第二批162戶廉租...
根據《山東省城市房地產開發經營管理條例》的規定,經審查,我局對滕州市城市建設綜合開發公司開發建設的城建·威尼斯一期項目做出準予房地產開發經營許可決定,《房地產開發經營許可證》號為:房開證2012字第01號。該項目位于滕州市善國路西側,荊河南...
根據《山東省商品房銷售條例》的規定,經審查,我局對山東遠航置業有限公司開發建設的遠航第一國際三期項目(31-34、36-38、40-44號樓、1-2號車庫)做出準予商品房預售許可決定,《商品房預售許可證》號為:滕房預售證第2012-02號。...
根據《山東省城市房地產開發經營管理條例》的規定,經審查,我局對山東億嘉元置業投資有限公司開發建設的愛家豪庭(10號樓)項目做出準予房地產開發經營許可決定,《房地產開發經營許可證》號為:房開證2011字第20號。該項目位于滕州市北關街東側,小...
滕州市大同天下E1、F區第一標段大同南路(東西寺院)區域改造工程招標公告滕州市大同天下E1、F區第一標段大同南路(東西寺院)區域改造工程已批準建設,現決定對該工程項目進行公開招標,選定承包人。一、招標單位:山東新興置業有限公司二、工程名稱:...
根據《山東省商品房銷售條例》的規定,經審查,我局對滕州市東方中石房地產開發有限公司開發建設的海上明月項目(1-11號樓)做出準予商品房預售許可決定,《商品房預售許可證》號為:滕房預售證第2011-30號。該項目位于滕州市荊河東路南側,荊河東...
關于我市2011年度廉租住房保障資格復核情況的公示根據《滕州市人民政府辦公室關于開展廉租住房保障對象資格動態核查的通知》(滕政辦發[2011]66號)文件精神,我辦在2011年對已經納入我市廉租住房保障范圍的193戶居民家庭進行了資格復核,...
公示根據《中華人民共和國招標投標法》等法律法規,滕州市濱湖鎮濱湖中心餐廳改造工程經過公開招標,中標單位已經確定,現將有關情況公示如下:招標單位滕州市濱湖鎮中心中學招標代理單位山東舜誠工程造價咨詢有限公司中標單位滕州市泰興建筑安裝工程有限公司...
公示根據《中華人民共和國招標投標法》等法律法規,滕州市大同天下G區第一標段工程經過公開招標,中標單位已經確定,現將有關情況公示如下:招標單位山東新興置業有限公司招標代理單位滕州市東方建設工程事務有限公司中標單位滕州市安信建筑安裝工程有限責任...
滕州市廉租住房保障辦公室關于2011年廉租住房實物配租資格審核及配租房源情況的公示現將2011年廉租住房實物配租資格審核及配租房源情況進行公示:一、資格審核情況根據《滕州市人民政府辦公室關于辦理第二批廉租住房實物配租的通知》(滕政辦發[20...
根據《山東省城市房地產開發經營管理條例》的規定,經審查,我局對山東騰立房地產開發有限公司開發建設的力源花苑項目做出準予房地產開發經營許可決定,《房地產開發經營許可證》號為:房開證2011字第19號。該項目位于滕州市柴胡店鎮駐地,批準開發經營...
根據《山東省商品房銷售條例》的規定,經審查,我局對滕州倫達商貿城開發有限公司開發建設的倫達國貿城B2區項目做出準予商品房預售許可決定,《商品房預售許可證》號為:滕房預售證第2011-28號。該項目位于滕州市北辛路北側。批準商品房預售總建筑面...
根據《山東省城市房地產開發經營管理條例》的規定,經審查,我局對滕州倫達商貿城開發有限公司開發建設的倫達國貿城D區(1#部分、2#、3#)項目做出準予房地產開發經營許可決定,《房地產開發經營許可證》號為:房開證2011字第18號。該項目位于滕...
滕州市物價局關于公開征集制定安康花園(一期)經濟適用住房價格聽證會代表的公告為提高政府價格決策的科學性和透明度,根據《中華人民共和國價格法》和《政府價格決策聽證辦法》規定,我局決定面向社會公開征集制定安康花園(一期)經濟適用住房價格聽證會代...
Copyright? 2006-2025 tzfcw.com.cn All rights reserved.
主辦單位:滕州信息港 網站備案編號:魯ICP備15029564號-6 地址:滕州市解放中路中央城B區商務樓3F
違法和不良信息舉報電話:0632-5502111 舉報郵箱:9344603@qq.com
滕州房產網 官方客服熱線
0632-5502111
工作時間:周一至周六8:00-17:00
使用小程序