現將2011年廉租住房實物配租資格審核及配租房源情況進行公示:
一、資格審核情況
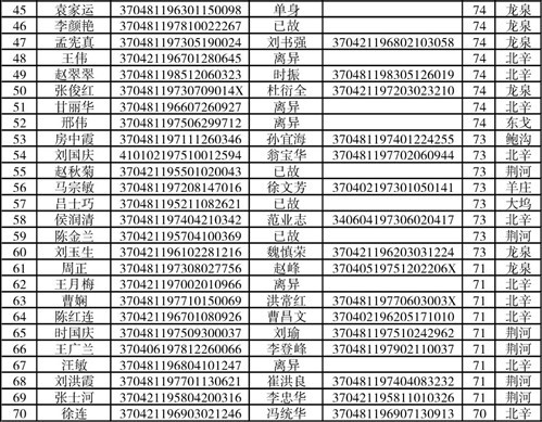
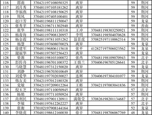
根據《滕州市人民政府辦公室關于辦理第二批廉租住房實物配租的通知》(滕政辦發[2011]139號)要求,經過市住房保障和民政部門的共同審核,共有以下164戶家庭初步具備廉租住房實物配租資格,分為以下兩組:
?。ㄒ唬﹥炏冉M:殘疾人(僅指肢體殘疾和視力殘疾)申請家庭、優撫家庭和家庭成員中有70歲以上老人的申請家庭,共24戶。
(二)普通組:除優先組以外的其他申請家庭,共140戶。
優先組優先選房,普通組在優先組選房后選房。
二、配租房源
本次配租的廉租住房分別位于滕州市荊善安居南區和金城花園小區,根據申請配租的家庭戶數,進行立體單元分割,統一配租,其中荊善安居南區配租85套,金城花園二期配租79套。
現將資格審核、配租房源等情況公示,接受社會各界監督。如發現不符合規定條件和弄虛作假者,請向滕州市廉租住房保障辦公室舉報(地址:善國南路80號,電話:5572647、5566167)。公示時間從2011年12月28日起至2012年1月3日止,公示期滿無投訴舉報或經核實舉報不實的,申請人家庭即具備享受廉租住房實物配租資格,予以登記配租。
滕州市廉租住房保障辦公室
2011年12月28日
滕州市2011年廉租住房實物配租申請人資格情況公示(普通組)




滕州市2011年廉租住房實物配租申請人資格情況公示(優先組)
